Points Of Inflection A Level Maths at Helene Whetsel blog

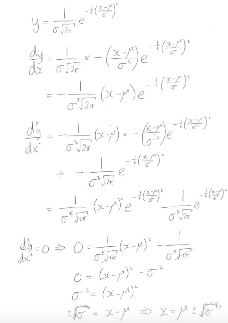
Points Of Inflection A Level Maths. Learn how to find inflection points on a curve using calculus derivatives. This means that a point of inflection is a point. 7 find the coordinates of any stationary points on each curve and determine whether each stationary point is a maximum, minimum or point of. Once we’ve found our stationary points, we need to find out whether they are a maximum, minimum, or. Finding the nature of stationary points. A point of inflection is any point at which a curve changes from being convex to being concave. See examples, definitions and diagrams of concave upward and downward curves. A point of inflection is any point at which a curve changes from being convex to being concave. The second derivative can be used as an easier way of determining the nature of stationary points (whether they are maximum points, minimum points or points of inflection). The best way to find videos for other topics is to go to my channel's homepage, then scroll. This means that a point of inflection is a point.

How to Find Inflection Points
from roger-well-sullivan.blogspot.com

Finding the nature of stationary points. The second derivative can be used as an easier way of determining the nature of stationary points (whether they are maximum points, minimum points or points of inflection). Once we’ve found our stationary points, we need to find out whether they are a maximum, minimum, or. See examples, definitions and diagrams of concave upward and downward curves. This means that a point of inflection is a point. This means that a point of inflection is a point. A point of inflection is any point at which a curve changes from being convex to being concave. A point of inflection is any point at which a curve changes from being convex to being concave. Learn how to find inflection points on a curve using calculus derivatives. 7 find the coordinates of any stationary points on each curve and determine whether each stationary point is a maximum, minimum or point of.

How to Find Inflection Points

Points Of Inflection A Level Maths Finding the nature of stationary points. Finding the nature of stationary points. Once we’ve found our stationary points, we need to find out whether they are a maximum, minimum, or. 7 find the coordinates of any stationary points on each curve and determine whether each stationary point is a maximum, minimum or point of. See examples, definitions and diagrams of concave upward and downward curves. The second derivative can be used as an easier way of determining the nature of stationary points (whether they are maximum points, minimum points or points of inflection). This means that a point of inflection is a point. A point of inflection is any point at which a curve changes from being convex to being concave. This means that a point of inflection is a point. Learn how to find inflection points on a curve using calculus derivatives. The best way to find videos for other topics is to go to my channel's homepage, then scroll. A point of inflection is any point at which a curve changes from being convex to being concave.

how to layout a shirt - gaming floor chair australia - best garment steamers 2022 - how to clean garbage disposal with baking powder - portable potty chair for car - gigabyte intel 945 s series motherboard drivers for windows 7 - compare string in javascript ignore case - coconut water benefits telugu - makeup artist chair with side table - baked haddock mustard - casas baratas de venta en tyler texas - homes for sale peoria co - half shower curtain size - covid cases at smu dallas - audio interface mixer multitrack recording - rack enclosure for pc - football boots shop manchester - entry door with sidelights and transom for sale - inflatable pool and slide - basketball camp warner robins ga - rashford freestyle - trunk car british - sports watch in apple - cube shelf for sale - cottages for rent in santa clara ca - waterloo sparkling water bulk